38 in the diagram the black line represents the concentration
7 The diagram represents shallow water waves of constant wavelength passing through two small openings in a barrier. The statement which best describes the interference at point P is: A It is constructive and causes a longer wavelength. B It is constructive and causes an increase in amplitude. C It is destructive and causes a shorter wavelength. Which structure contains a high concentration of magnesium? D A B C ... Which line shows the pressure of blood as it flows through veins before returning to the heart? ... 20 The diagram represents the blood supply to the liver and to the kidneys. liver kidneys 2 4 3 1 from gut
Transcribed image text: In the diagram, the black line represents the concentration of a reactant and the green line represents the concentration Which of the following statements best describes the reaction rate? Time O The reactants maintain an constant concentration in the first half of the reaction O The product maintains an constant concentration in the first half of the reaction At the ...

In the diagram the black line represents the concentration
In the diagram, the black line represents the concentration of a reactant and the green line represents the concentration of a product. Which statement best describes the reaction rate? A. The product maintains an constant concentration in the first half of the reaction. B. diagram shows what is seen when the leaf is placed under a microscope. Which structure will be stained blue / black? D 2 The small intestine contains a low concentration of glucose produced from the digestion of starch. Glucose is taken up by the cells of the villi. How does the glucose move? A by active transport against the concentration gradient Increase the concentration of reactant molecules present ... The black line represents energy changes in an uncatalyzed reaction. The colored line shows the ...
In the diagram the black line represents the concentration. Download scientific diagram | Example of the number concentration histograms used in Figs. 9-11. The black line shows the histogram (with equal log distributed bins) of all available data from ... Electrical Symbols and Line Diagrams Chapter 3 Material taken from Chapter 3 of Electric Motor Controls, G. Rockis, 2001 One-Line Diagrams One-line diagram - a diagram that uses single lines and graphic symbols to indicate the path and components of an electrical circuit. One-line diagrams are used when information about a circuit is required Each line of a Pourbaix diagram represents conditions of thermodynamic equilibrium for some reaction. The Pourbaix diagram for water is presented in below figure, above line b, oxygen is evolved in accord with the reaction . 2 2 2 2O H e H O 2 1 By use the Nernst equation we can write relationship between potential and pH as below Download scientific diagram | The black line represents the time series of the HCl concentration (left y axis) or flux (right y axis) during an experiment ...
In the diagram, the black line represents the concentration of a reactant and the green line represents the concentration of a product. Which statement best describes the reaction rate? A. The product maintains an constant concentration in the first half of the reaction. B. At the end of the reaction, both product and reactants are of a constant concentration. The red line represents the current state of the body with respect to a particular internal condition. The poirted black dial represents the control center's set point for that partioular cond tion tn the dagram, examine the three folowing scenarios and; Question: 3. Variations on homeostasis Aa Thse followng diagram uses thermostats as an ... eral compositions. Lines of strong colour represent squalane concentrations, half-transparent lines represent polybutadiene concentrations. Concentration pro les are obtained from av-eraging both surfaces. The individual surface pro les are plotted in transparent lines. 5 0 5 10 15 20 l/nm 0:00 0:15 0:30 0:45 0:60 0:75 density /g cm 3 squalane ... Which Would Be The Best Way To Represent The… If The Solution Is Nacl(Aq), What Is The… If Cacl2 Is Dissolved In Water, What Can Be Said… What Is The Final Concentration If 50.0 Ml Of A 2.00… Calculate The Van'T Hoff Factor (I) For Mx2 At This… In The Diagram The Black Line Represents The Concentration
Questions for Diagram 9, Relationship between CO 2 and global temperature: 1. What do the blue lines represent? 2. What do the red lines represent? 3. What does the black line represent? 4. Is there a relationship between CO 2 and global temperature? If so, what is it? 5. What are some of the consequences of increasing global temperatures? Get an easy, free answer to your question in Top Homework Answers. In the diagram, the black line represents the concentration of a reactant and the green line represents the concentration of a product. Which statement best describes the reaction rate? A. The product maintains an constant concentration in the first half of the reaction. B. At the end of the reaction, both product and reactants ... Active transport requires an input of energy and moves molecules against their concentration gradient.----- Drag the labels to their appropriate locations on the diagram. ... Which line represents the activation energy for that reaction--a, b, or c? red curve; line b ... Drag the labels to their appropriate locations on the diagram. A) side ... The linear relationship between absorbance and concentration displays that absorbance depends on the concentration. Beer's Law, A=Ebc, helped to develop the linear equation, since absorbance was equal to y, Eb was equal to m, and the concentration, c, was equal to the slope, x, in the equation y=mx+b. To calibrate the spectrometer, a solution ...

Reaction Kinetic Parameters For A Distributed Model Of Transport And Reaction In Pd Rh Cezro Three Way Catalytic Converters
A. The concentration of O2 will increase inside the cell. B. The concentration of CO2 will remain the same inside the cell. C. The concentration of O2 will remain the same outside the cell. D. The concentration of CO2 will decrease outside the cell. 12. The diagram below represents events associated with a biochemical process that occurs in ...
15 The diagram shows the liver and its blood supply. W X liver alimentary canal What is the name of blood vessel X, and which substance increases in concentration between vessel W and vessel X? name of X substance A hepatic artery carbon dioxide B hepatic portal vein carbon dioxide C hepatic artery oxygen D hepatic portal vein oxygen

The Effect Of A Common Daily Schedule On Human Circadian Rhythms During The Polar Day In Svalbard A Field Study
Line X in the diagram represents the volume (V) of gas formed with time (t) in a reaction between an excess of magnesium and aqueous sulfuric acid. € Which line represents the volume of hydrogen formed, at the same temperature and pressure, when the concentration of sulfuric acid has been halved? ...

Ecology Of The Sontecomapan Lagoon Veracruz The Effect Of Mangrove Leaf Litter Extracts On Primary Productivity And Phytoplankton Growth Ird Editions
Floyd James Williams · 1957 · Uranium oresThe only exception to this was the station taken in diaba se at the Black Brush ... The resulting point diagram was then contoured by lines representing the ...
higher than the salt concentration in the red blood cells? 1)The concentration of O2 will increase inside the cell. 2)The concentration of CO2 will remain the same inside the cell. 3)The concentration of O2 will remain the same outside the cell. 4)The concentration of CO2 will decrease outside the cell. 20.The diagram below represents a cell in ...
Phase Diagram: In this phase diagram, which is typical of most substances, the solid lines represent the phase boundaries.The green line marks the freezing point (or transition from liquid to solid), the blue line marks the boiling point (or transition from liquid to gas), and the red line shows the conditions under which a solid can be converted directly to a gas (and vice-versa).
In the diagram, the black line represents the concentration of a reactant and the green line represents the concentration of a product. Which statement best describes the reaction rate? A. The product maintains an constant concentration in the first half of the reaction. B.
The following diagram represents reflection and refraction. The solid black line in the diagram represents the interface between two different media. Which label in the diagram represents the angle of refraction? ?
John Texter · 2001 · ScienceRegions with tie lines in the phase diagram represent lamellar two- phase regions, ... The thick black lines in the 3D representation correspond to the ...
The graph shows the change in concentration of one of the species in the reaction AB→A + B + heat . ... In the diagram, the black line represents the concentration of a reactant and the green line represents the concentration of a product. Which statement best describes the reaction rate?

Pdf Transcriptomic Hepatotoxicity Signature Of Chlorpromazine After Short And Long Term Exposure In Primary Human Sandwich Cultures Semantic Scholar
increasing the concentration of the reactant decreasing the concentration the reactant decreasing the concentration of a product decreasing the temperature 9. In the diagram, the black line represents the concentration of a reactant and the green line represents the concentration of a product.

Utility Of A Protein Fraction With Cathepsin L Like Activity Purified From Cysticercus Fluid Of Taenia Solium In The Diagnosis Of Human Cysticercosis In The American Journal Of Tropical Medicine And Hygiene Volume
This is because of the substrate molecules approaching the surface through different pathways like convergent or divergent in nature. Hence the above concertation profile represents the enzyme attached to the inside of the cylindrical fiber. The black line represents r/ƍ = 9 and red dotted line represents r/ƍ = 0.11.

Measurement Of Single Kidney Glomerular Filtration Rate In Dogs Using Dynamic Contrast Enhanced Magnetic Resonance Imaging And The Rutland Patlak Plot Technique Acta Veterinaria Scandinavica Full Text
The diagram below represents the concentration of the two solutes outside one of the cells, when this cell was placed in the solution. The cells were left in the solution for 50 minutes. The diagrams below represent the concentrations of the two solutes, inside and outside the cell after 10, 20, 30 and 40 minutes in the solution.

Towards Further Verification Of Physiologically Based Kidney Models Predictability Of The Effects Of Urine Flow And Urine Ph On Renal Clearance Journal Of Pharmacology And Experimental Therapeutics
6 The diagram shows a fly. X Y The line XY represents the length of the wing. The length of line XY is 26 mm. The actual size of the wing between XY is 4 mm. What is the magnification of the image? A ×0.15 B ×6.5 C ×22 D ×104 7 A frog is an animal. A frog's skin is permeable to oxygen and carbon dioxide.

Preanalytic And Analytic Factors Affecting The Measurement Of Haemoglobin Concentration Impact On Global Estimates Of Anaemia Prevalence Bmj Global Health
Joseph D. Bronzino, Donald R. Peterson · 2014 · MedicalThe Pourbaix diagram is a plot of regions of corrosion, passivity, ... lines in the diagrams shown in Figure 28 12 The top oxygen line represents the upper ...
1. Draw the tie line. 2. Note where the tie line intersects the liquidus and solidus lines (i.e. where the tie line crosses the phase boundaries). 3. Read off the composition at the boundaries: Liquid is composed of CL amount of Ni (31.5 wt% Ni). Solid is composed of Cαααα amount of Ni (42.5 wt% Ni).

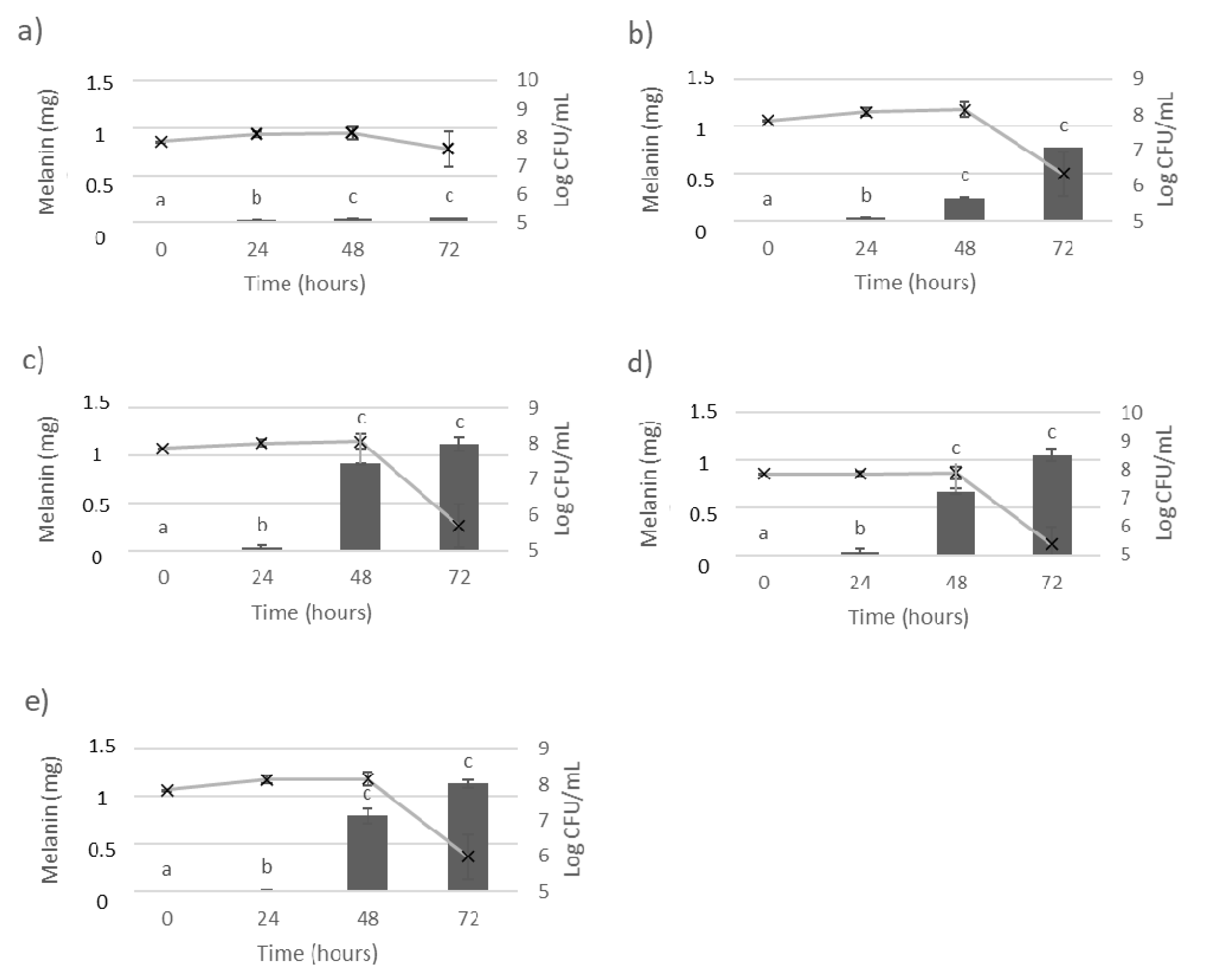
Ijerph Free Full Text Melanin Production From Cheese Bacteria Chemical Characterization And Biological Activities Html
Increase the concentration of reactant molecules present ... The black line represents energy changes in an uncatalyzed reaction. The colored line shows the ...
diagram shows what is seen when the leaf is placed under a microscope. Which structure will be stained blue / black? D 2 The small intestine contains a low concentration of glucose produced from the digestion of starch. Glucose is taken up by the cells of the villi. How does the glucose move? A by active transport against the concentration gradient

Sampling Errors In The Measurement Of Rainfall Parameters Using The Precipitation Occurrence Sensor System Poss In Journal Of Atmospheric And Oceanic Technology Volume 24 Issue 2 2007
In the diagram, the black line represents the concentration of a reactant and the green line represents the concentration of a product. Which statement best describes the reaction rate? A. The product maintains an constant concentration in the first half of the reaction. B.

Journal Club Review Of Levoketoconazole And Osilodrostat In The Treatment Of Cushing S Syndrome Mgh Neptcc Bulletin

Results Of A Multicenter Population Pharmacokinetic Study Of Ciprofloxacin In Children With Complicated Urinary Tract Infection Antimicrobial Agents And Chemotherapy

Comparison Of Training Monitoring And Prescription Methods In Sprint Kayaking In International Journal Of Sports Physiology And Performance Volume 15 Issue 5 2019

Advances In Pulsed Laser Atom Probe Instrument And Specimen Design For Optimum Performance Microscopy And Microanalysis Cambridge Core

Solved A Friend Studies A First Order Reaction And Obtains The Following Three Graphs For Experiments Done At Two Different Temperatures A Which Two Lines Represent Experiments Done At The Same Temperature What Accounts

Cerebrospinal Fluid Penetration Of Ceftolozane Tazobactam In Critically Ill Patients With An Indwelling External Ventricular Drain Antimicrobial Agents And Chemotherapy
Photocatalytic Removal Of Malachite Green And Brilliant Blue Dyes From Its Aqueous Solution A Case Study Of Factorial Experimental Design

Circulating Fibrocytes As Prognostic Biomarkers Of Autoimmune Interstitial Lung Disease European Respiratory Society

On The Effect Of Flow Restrictions On The Nucleation Behavior Of Molecules In Tubular Flow Nucleators Springerlink
0 Response to "38 in the diagram the black line represents the concentration"
Post a Comment