Iklan 300x250

41 how to diagram noun clauses

For technical reasons, this post has been divided into two posts: [Part 1](https://www.reddit.com/r/conlangs/comments/43g89n/ccc_310116_int02_syntax_part_1/) and [Part 2](https://www.reddit.com/r/conlangs/comments/43gaqj/ccc_310116_int02_syntax_part_2/). We hope this doesn’t inconvenience you. This course was written by /u/jk05 This course is also on the wiki at /r/conlangs/wiki/events/crashcourse/posts. *** ##Transitivity Now that we’ve been introduced to arguments, we can talk about "tra... ​ **Today I’m going set the record straight on Korean.** I hear and read a lot of defeatist nonsense about how much of a Goliath the Korean language is. The main excuse I hear from expats who have been living in Korea for many months or even years as to why they never bothered learning Korean is that **it’s just** **too difficult** – they tried when they first got here but then gave up shortly after. I was chatting to an expat in a bar last week who concluded that **I** **must...

Hi! I'm trying to diagram a favorite line from a poem, and it's got me stumped largely because I can't figure out the terminology for some of the parts of the sentence. The sentence is: >To live in this world, you must be able to do three things: to love what is mortal; to hold it against your bones knowing your own life depends on it; and when the time comes to let it go, to let it go. So, thanks to this fun project, I've already learned terribly interesting things about absolute constr...

How to diagram noun clauses

How to diagram noun clauses

For technical reasons, this post has been divided into two posts: [Part 1](https://www.reddit.com/r/conlangs/comments/43g89n/ccc_310116_int02_syntax_part_1/) and [Part 2](https://www.reddit.com/r/conlangs/comments/43gaqj/ccc_310116_int02_syntax_part_2/). We hope this doesn’t inconvenience you. This course was written by /u/jk05 This course is also on the wiki at /r/conlangs/wiki/events/crashcourse/posts. *** Welcome to ***Let's syntax!*** **with /u/jk05**. Future syntax-related courses by o... Dependent clauses are not able to stand alone or make sense by themselves. Because dependent clauses cannot stand on their own, they are subordinate to other clauses. They function as noun clauses, adjective clauses and adverb clauses. God gave him to show his servants things which must shortly take place (Rev. 1:1b; used as an adjective) Noun clauses are a type of dependent clause acting as nouns. That means that they can do any of the noun jobs (subject, direct object, indirect object, predicate noun, object of the preposition). This diagram shows a noun clause acting as the subject of the independent clause. This diagram shows a noun clause acting as the direct object of the verb knows.

How to diagram noun clauses. 14.10.2021 · Noun clauses aren’t always a necessary part of the sentence. Rather, they can simply add some more information, making the clause a sentence complement. Evaluate if the sentence has a complete, independent clause that doesn’t need the noun clause to make it a complete sentence. If so, then the clause serves as a complement. This video explains how to diagram noun clauses. Portions of this video were inspired by https://www.youtube.com/watch?v=WDgB_gxY2M8 . Aug 15, 2019 · Diagramming Noun Clauses Let's practice diagramming "That Stella is intelligent is obvious." This sentence contains 2 linking verbs ("is" and "is"), 2 subject complements ("intelligent" and "obvious"), and "That" as a conjunction. However, in this sentence, the "that" does not change the meaning of the sentence. I have a 90+ in computer science and pre-cal....yet cannot for the life of me understand how to recognize clauses and phrases. I’ve read thru the text book 3 times. Done the diagrams and stayed up until 4, feeling confident after the in book challenges I did really well with. I got a 65, but more importantly, can’t recognize phrase types, especially with different positions(subject, direct object, etc) I got a 70 for dependent clauses: adverb, relative and noun clauses. (Do not understand no...

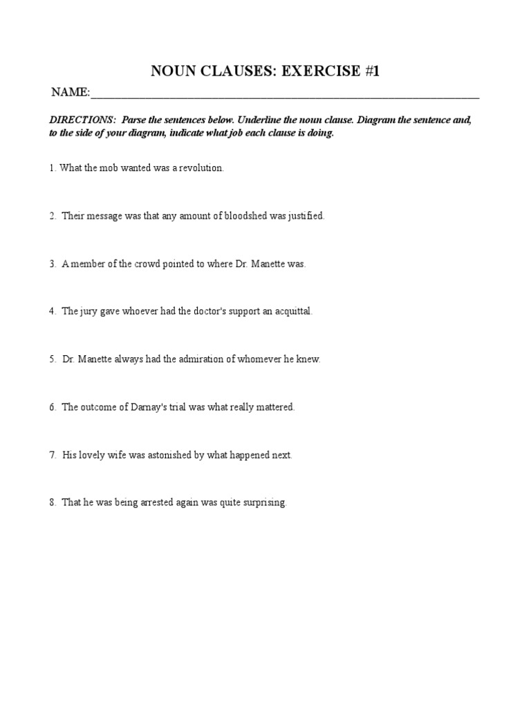
12.06.2021 · Noun clauses are dependent clauses that can replace any noun in the sentence: subjects, objects, and/or subject complements. In all, there are five different functions that a noun clause can serve: subjects, direct objects, indirect objects, objects of the preposition, and subject complements. Be sure to check out our free grammar course for more Dependent Clause … This post is about temporal reference in Nemere. Temporal reference is all about how a language situates events in time, and this post will discuss how Nemere uses its small inventory of tense and aspect formatives to do just that. I'll talk about the different ways Nemere can talk about the present, the past, and the future. First, I'll briefly go over Nemere verbal morphology, and I'll introduce the various tense and aspect markers, providing a brief description of their semantics. I'll also ... Whatever you want = dependent noun clause functioning as the subject. Directions: As you diagram the following sentences, start by deciding what the noun clause is acting as. Place it on its own line just above wherever it goes in the independent clause. Connect the sentence diagram to the independent clause with a little forked line. 1. Here's the example. Santa Claus has a workshop and needs to track the toys being made by each elf in a database. So his developer draws a diagram to be sure he understands. `(ELF)-[MAKER_OF]->(TOY)` and an arrow the other way... `(ELF)<-[PRODUCT_OF]-(TOY)` The arrow matches the English reading order, SVO (subject-verb→object) Seems simple enough. When the code is written based upon the diagram, we get an object for representing the relationship (bad) class ElfMakesToy ...

By may be followed by a noun or noun phrase with a specific point in time such as now, then or a calendar time or date. (temporal nouns) FUTURE PERFECT PREDICTION: FUTURE TIME–POINT: They will have finished their work . by tomorrow. by this time next week. by 9:00 a.m. by the end of the day. by then / now. by noon / midnight / sunset [Prev](http://redd.it/39rhnx), [Next](http://redd.it/39s993) --- [Prev major post](http://redd.it/39rhnx), [Next major post](http://redd.it/3a28zn) --- See [the previous post](http://redd.it/39rhnx) for more organized, but mnemonic-less, tables [Here are pictures of my paper notes, which show the script.](http://imgur.com/a/rP1u2) **How to use these mnemonics** Each mnemonic is a description of a scene, which you are expected to **imagine** as **vividly** as possible as you **say the mnem... adverb An adverb refers to any element in a sentence used to modify a verb, adjective, another adverb, or even an entire clause. Adverbs can be single words, phrases (called adverbial phrases), or entire clauses (called adverbial clauses). Continue reading... ad·verb (ăd′vûrb) n. Abbr. adv. 1. The part of speech that modifies a verb, an adjective ... # Today I’m going set the record straight on Korean. I hear and read a lot of defeatist nonsense about how much of a Goliath the Korean language is. The main excuse I hear from expats who have been living in Korea for many months or even years as to why they never bothered learning Korean is that **it’s just** **too difficult** – they tried when they first got here but then gave up shortly after. I was chatting to an expat in a bar last week who concluded that **I** **must be good at lang...

How to Diagram Noun Clauses.pdf. 1. Find the noun clause within the main clause. 2. Determine the noun function of the clause (subject. direct object, indirect. object, object of a preposition, predicate nominative, or appositive). 3. Place the noun clause on a platform in the spot it should occupy. 4.

The clauses express related thoughts, and neither clause is more important structurally. The only function of the coordinating conjunction is to connect the clauses and indicate a very simple relationship between them. There are only seven coordinating conjunctions, and memorizing them is a fantastic idea. They are for, and, nor, but, or, yet, so. (Think FANBOYS.) When we …

Noun clauses are a type of dependent clause acting as nouns. That means that they can do any of the noun jobs (subject, direct object, indirect object, predicate noun, object of the preposition). This diagram shows a noun clause acting as the subject of the independent clause. This diagram shows a noun clause acting as the direct object of the verb knows.

Dependent clauses are not able to stand alone or make sense by themselves. Because dependent clauses cannot stand on their own, they are subordinate to other clauses. They function as noun clauses, adjective clauses and adverb clauses. God gave him to show his servants things which must shortly take place (Rev. 1:1b; used as an adjective)

For technical reasons, this post has been divided into two posts: [Part 1](https://www.reddit.com/r/conlangs/comments/43g89n/ccc_310116_int02_syntax_part_1/) and [Part 2](https://www.reddit.com/r/conlangs/comments/43gaqj/ccc_310116_int02_syntax_part_2/). We hope this doesn’t inconvenience you. This course was written by /u/jk05 This course is also on the wiki at /r/conlangs/wiki/events/crashcourse/posts. *** Welcome to ***Let's syntax!*** **with /u/jk05**. Future syntax-related courses by o...

0 Response to "41 how to diagram noun clauses"

Post a Comment

Iklan Atas Artikel

Iklan Tengah Artikel 1

Iklan Tengah Artikel 2

Iklan Bawah Artikel